femshop

Examples

These examples start simple and demonstrate how to use the various aspects of femshop.

Poisson

poisson1d The simplest example possible. 1D Poisson with homogeneous Dirichlet boundary. It demonstrates the basics of setting up and solving a problem directly in femshop.
Page: poisson 1D page
Script: example-poisson1d.jl

Linear Elasticity

elasticity The linear elasticity example demonstrates vector entities and mixed boundary conditions.
Page: elasticity page
example-elasticity.jl

Heat

heat The heat equation demonstrates support for time dependent problems.
Page: heat page
example-heat2d.jl

Navier Stokes

NS This 2D lid-driven NS problem demonstrates some of the nonlinear capabilities and the use of parameter entities.
Page: NS page
example-NS.jl

Unstructured Meshes

unstructured Unstructured meshes in 2D and 3D made of triangles, quadrilaterals, hexahedra and tetrahedra are imported from .MSH files and demonstrated on some simple problems.
Page: Unstructured Meshes page
example-unstructured2d.jl
example-unstructured3d.jl

Finite Volume: Advection

fvadvec2d Finite volume method for a basic advection problem. This example demonstrates the finite volume capability as well as exporting/importing generated code.
Page: FV Advection page
example-advection1d-fv.jl
example-advection2d-fv.jl

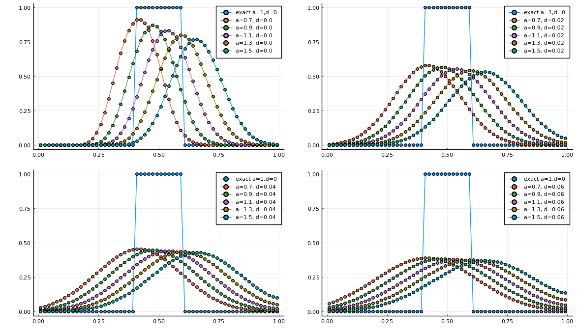
Indexed Variables

addiff1dindexed Finite volume method for an advection-diffusion problem using indexed variables to compute the same equation over many values of advection speed and diffusion rate. This example demonstrates indexed variables and customizable assembly code generation.
Page: Indexed Variables page
example-addiff1d-indexed.jl